O ácido Etilenodiaminotetracético

Alfon

Exploring The Journey Of Dan Hughes At QVC

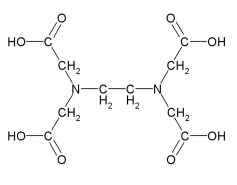
O ácido etilenodiaminotetracético é chamado popularmente como edta e sua maior utilização é como antioxidante em margarinas. Esse composto apresenta uma cadeia acíclica, não é em formato do ciclo. Além disso é saturada, caracterizada por não possui qualquer instauração entre as ligações entre os carbonos. O titulante mais utilizado em titulações de complexação é o ácido etilenodiaminotetracético , para os íntimos edta e ele tem essa carinha aqui:. Está vendo que ele tem quatro carboxílas?!.

A questão solicita que encontremos as características do ácido etilenodiaminotetracético. assim, temos que a cadeia carbônica desse composto é acíclica, saturada e heterogênea, letra c. A nomenclatura é utilizada na química com o objetivo de uniformizar os nomes dos compostos em todo o mundo. Os critérios para a. O edta, ou ácido etilenodiaminotetracético, é uma molécula orgânica popular que atua como um agente quelante em alimentos, terapia quelante e em muitos produtos domésticos. O edta cálcio dissódico é um conservante e estabilizador de alimentos que também trata intoxicações por chumbo e hipercalcemia. Ácido etilenodiaminotetracético (edta) é o quelante mais usado em química analítica. Praticamente todos os elementos da tabela periódica podem ser analisados com edta, seja por titulação direta ou seqüência de reações indiretas. O ácido etilenodiaminotetracético (edta), um composto muito usado em análise quantitativa, forma complexo estáveis com a maioria dos íons metálicos na proporção 1:1. Indique a alternativa, dentre as opções, que apresenta o principal motivo da aplicação prática do edta como agente complexantes para uma grande maioria de metais. Ácido etilenodiaminotetraacético, sal dipotássico dihidratado ethylenedinitrilotetraacetic acid dipotassium salt dihydrate gr for analysis. Ácido etilenodiaminotetracético (edta) é o quelante mais usado em química analítica. Praticamente todos os elementos da tabela periódica podem ser determinados com edta, seja por titulação direta ou sequência de reações indiretas. O edta é um ácido fraco hexaprótico (h 6 y +2) que em soluções aquosas Ácido etilenodiaminotetracético (edta) é o quelante mais usado em volumetria. Praticamente todos os elementos da tabela periódica podem ser analisados com edta, seja por titulação direta ou seqüência de reações indiretas.

O ácido Etilenodiaminotetracético Conhecido Como Edta - EDULEARN
O ácido Etilenodiaminotetracético Conhecido Como Edta - EDULEARN

Ácido etilenodiaminotetracético (edta) é o quelante mais usado em química analítica. Praticamente todos os elementos da tabela periódica podem ser determinados com edta, seja por titulação direta ou sequência de reações indiretas. O edta é um ácido fraco hexaprótico (h 6 y +2) que em soluções aquosas Ácido etilenodiaminotetracético (edta) é o quelante mais usado em volumetria. Praticamente todos os elementos da tabela periódica podem ser analisados com edta, seja por titulação direta ou seqüência de reações indiretas. B) acíclica, saturada, heterogênea. Solução aquosa do sal tetrassódico do ácido etilenodiaminotetracético. Cosmolon b liquido uso do produto: Complexante para a indústria química. Esta página cita fontes, mas que não cobrem todo o conteúdo. Ajude a inserir referências (encontre fontes: Abril de 2017) edta alerta sobre risco à saúde; O edta é um ácido que atua como ligante hexadentado, podendo complexar o íon metálico através de seis posições de coordenação: O edta, também conhecido como ácido etilenodiaminotetracético, é um composto químico amplamente utilizado em diversas indústrias, incluindo a indústria farmacêutica, de alimentos, cosméticos e de cuidados pessoais. É um agente quelante, o que significa que possui a capacidade de se ligar a íons metálicos, formando complexos estáveis. Pergunta 6) o ácido etilenodiaminotetracético, conhecido como edta, utilizado como antioxidante em margarinas, de fórmula: Fórmula do edta (ácido etilenodia. Enviada por questões para estudantes para outros na disciplina de aps biomedicina O edta é uma solução aquosa do sal tetrassódico de ácido etileno diamino tetracético, amplamente utilizado para controlar os íons metálicos numa extensa gama de ph em sistemas aquosos. Não quelante de íons metálicos monovalentes tais como sódio ou potássio. O edta pode ser utilizado em diferentes ramos, tais como agricultura, nas indústrias metalúrgicas,.

Solução aquosa do sal tetrassódico do ácido etilenodiaminotetracético. Cosmolon b liquido uso do produto: Complexante para a indústria química. Esta página cita fontes, mas que não cobrem todo o conteúdo. Ajude a inserir referências (encontre fontes: Abril de 2017) edta alerta sobre risco à saúde; O edta é um ácido que atua como ligante hexadentado, podendo complexar o íon metálico através de seis posições de coordenação: O edta, também conhecido como ácido etilenodiaminotetracético, é um composto químico amplamente utilizado em diversas indústrias, incluindo a indústria farmacêutica, de alimentos, cosméticos e de cuidados pessoais. É um agente quelante, o que significa que possui a capacidade de se ligar a íons metálicos, formando complexos estáveis. Pergunta 6) o ácido etilenodiaminotetracético, conhecido como edta, utilizado como antioxidante em margarinas, de fórmula: Fórmula do edta (ácido etilenodia. Enviada por questões para estudantes para outros na disciplina de aps biomedicina O edta é uma solução aquosa do sal tetrassódico de ácido etileno diamino tetracético, amplamente utilizado para controlar os íons metálicos numa extensa gama de ph em sistemas aquosos. Não quelante de íons metálicos monovalentes tais como sódio ou potássio. O edta pode ser utilizado em diferentes ramos, tais como agricultura, nas indústrias metalúrgicas,. O nitriloacético, também conhecido como ácido etilenodiaminotetracético (edta), é um composto químico amplamente utilizado em diversas indústrias, incluindo a indústria farmacêutica, de cosméticos, de alimentos e de produtos químicos. É um ácido orgânico que possui propriedades quelantes, o que significa que ele é capaz de se ligar a íons metálicos e. Remover para local ventilado. O ácido etilenodiaminotetracético (edta), um composto muito usado em análise quantitativa, forma complexo estáveis com a maioria dos íons metálicos na proporção 1:1. Indique a alternativa, dentre as opções, que apresenta o principal motivo da aplicação prática do edta como agente complexantes para uma grande maioria de metais. Esse é o nome completo do nosso amigo. Sua temperatura de autoignição é igual a 80 °c, podendo causar inúmeras explosões. A cadeia carbônica do edta (ácido etilenodiaminotetracético) é acíclica , insaturada , homogênea (letra a). É recomendado para rotinas de hematologia por ser o. O ácido etilenodiaminotetracético (edta) é um pó branco inodoro. Pouco solúvel em água,. É utilizado na produção de produtos para o cuidado da pele e do cabelo como agente complexante do cálcio e do magnésio para amaciar a água. Produtos recentes com este ingrediente. De uma maneira geral, o ácido cítrico a 1% e 10% foi superior na remoção do cálcio em relação ao edta e ao citrato de sódio nos três intervalos de tempo testados. O edta (ácido etilenodiaminotetracético) é, sem dúvida, um agente complexante de uso recorrente em química analítica.


Also Read

Share: